当前位置:
化工词典 >
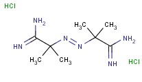
2 > 偶氮二异丁脒盐酸盐
- 中文别名:
- 偶氮二异丁基脒盐酸盐;2,2'-偶氮(2-甲基丙基脒)•二盐酸盐;AIBA;AAPH;2,2'-偶氮二异丁基脒二盐酸盐
- 英文名称:
- 2,2'-azobis[2-methylpropionamidine] dihydrochloride
- 英文别名:
- 2,2'-Azobis(2-methylpropionamide)dihydrochloride; AIBA; Azo two isobutyl Acetamiprid hydrochloride; 2,2'-Azobis(2-methylpropionamidine) dihydrochloride;; 2-(2-amino-2-imino-1,1-dimethyl-ethyl)azo-2-methyl-propanamidine dihydrochloride
- InChI:
- InChI=1/C8H18N6.2ClH/c1-7(2,5(9)10)13-14-8(3,4)6(11)12;;/h1-4H3,(H3,9,10)(H3,11,12);2*1H
- 分子结构:
-

- 沸 点:
- 336.4°C at 760 mmHg
- 蒸汽压:
- 8.02E-05mmHg at 25°C
- 危险品标志:
Xn:Harmful;
©2013
www.idochem.com 苏ICP备10098795号 最全面的在线
化工词典数据库